THREE PHASE POWER / VOLTAGE / CURRENT RELATIONSHIPS
The standard method of specifying the parameters of three phase transformers is
1. Line to Line Voltages
2. Line Currents
3. Total Power Rating
However often other information is provided
4. Line to Neutral Voltages
5. Total Current
6. Power Rating per Phase
The following mathematical formulae need to be applied to convert between the various formats for specifying transformers.
Delta connected systems
Only the Line to line voltage is defined VLL
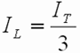
The Line current (IL) or the Total current (IT) may be defined

The Power Rating may be defined either per phase (PPh) or total (PR) 
The Power Rating is calculated from the voltages and currents as 
Star connected systems
Either the Line to line voltage (VLL) or the Line to Neutral voltage (VLN) may be defined.
The relationship between these voltages is 
The Line (or Phase) current (IL) or the Total current (IT) may be defined 

The Power Rating may be defined either per phase (PPh) or total (PR) 
The power rating is calculated from the voltages and currents as 
Or 
Note: Some three phase transformers are used to supply three single phase systems. In instances where the loads on the different phases are not equal the total power rating (PR) should be calculated using the power rating or line current of the largest load.
